Ganska ok batterivärden tycker jag.
Scan My Tesla Mätresultat
Moderator: Redaktion
-
Dexter
- Teslaägare
- Inlägg: 729
- Blev medlem: 04 dec 2020 09:34
Re: Scan My Tesla Mätresultat
Lite Scan my Tesla värden efter 1år och 3 mån. M3P -21
Ganska ok batterivärden tycker jag.
Ganska ok batterivärden tycker jag.
Du har inte behörighet att öppna de filer som bifogats till detta inlägg.
-
AAKEE
- Teslaägare
- Inlägg: 7534
- Blev medlem: 04 nov 2020 20:12
- Ort: Boden
- Referralkod: ts.la/ke18519
Re: Scan My Tesla Mätresultat
Absolut!Dexter skrev:Lite Scan my Tesla värden efter 1år och 3 mån. M3P -21
Ganska ok batterivärden tycker jag.
Hur ser ditt laddschema ut? ( laddar till /hur ofta, kör ned till vilken SOC% ? )
MSP ’23 Ultra Red/black 21” Arachnid
M3P ’21 Multicoat/black
Mazda Rx3 -73, Audi A5
Mazda Rx3 -73, Audi A5
-
Dexter
- Teslaägare
- Inlägg: 729
- Blev medlem: 04 dec 2020 09:34
Re: Scan My Tesla Mätresultat
Hej AAKEE.AAKEE skrev:Absolut!Dexter skrev:Lite Scan my Tesla värden efter 1år och 3 mån. M3P -21
Ganska ok batterivärden tycker jag.
Hur ser ditt laddschema ut? ( laddar till /hur ofta, kör ned till vilken SOC% ? )
Jag brukar ladda till 56-57% SOC varannan dag mestadels.
Sen laddar jag först när det går ned till 20% SOC.
Detta gör att Räckvidden ökar successivt samt att antalet beräknade laddcykler kan minska till antalet lite då och då.
Lite konstigt faktiskt.
Men när totala laddcyklar minskar typ 0,8 från föregående värde så ökar räckvidden något och även CAC värdet.
CAC värdet medel är 231 just nu.
När bilen hämtades ut ny så var maxvärdet 79,6kWh och nu är det 79,9kWh.
Så vi får se vilket toppvärde jag får.
80,4kwh är målet.
Jag har varit nere på minsta värde 76,5kWh tillfälligt och som sämst i Mars i år.(blev lite orolig faktiskt då)
-
AAKEE
- Teslaägare
- Inlägg: 7534
- Blev medlem: 04 nov 2020 20:12
- Ort: Boden
- Referralkod: ts.la/ke18519
Re: Scan My Tesla Mätresultat
Jag hade fortfarande runt 80.5-81kWh till för runt en månad sedan när jag ”tvingade” ned NFP med en ”omvänd” BMS-kalibrering.Dexter skrev:
Jag brukar ladda till 56-57% SOC varannan dag mestadels.
Sen laddar jag först när det går ned till 20% SOC.
Detta gör att Räckvidden ökar successivt samt att antalet beräknade laddcykler kan minska till antalet lite då och då.
Lite konstigt faktiskt.
Men när totala laddcyklar minskar typ 0,8 från föregående värde så ökar räckvidden något och även CAC värdet.
CAC värdet medel är 231 just nu.
När bilen hämtades ut ny så var maxvärdet 79,6kWh och nu är det 79,9kWh.
Så vi får se vilket toppvärde jag får.
80,4kwh är målet.![]()
Jag har varit nere på minsta värde 76,5kWh tillfälligt och som sämst i Mars i år.(blev lite orolig faktiskt då)
Alltså, jag förstod att den sanna kapaciteten är något lägre, jag hade räknat att jag borde ha ca 3-3.5% degradering nu.
Jag testade att köra med batteriet till -1.8% i julas, då sänktes NFP mot 79.5kWh kortvarigt innan det steg mot 80.5-ish igen.
Gjorde en ny urladdning till -2% för ca en månad sedan och då hamnade jag på runt 79kWh. Gissningsvis stämmer det rätt bra.
Körde ned till noll % för en vecka sedan och laddade fullt på SuC. Hade 3.8kWh remaining och fyllde på till 79.0kWh.
Har haft flera full-laddningar senaste tiden så f.n kommer nog inte NFP stiga då mina 55% laddningar inte hinner ”lura BMS”.
56-57% är låg och bra SOC för att minska calendar aging, däremot tror jag du kan vinna lite på att dra ned laddnivån bara lite, 55% eller så. NCA-batterierna har ju sitt ”steg” där calendar aging ökar mellan 55-60% SOC, och 55% på skärmen är ca 57% äkta batteri-SOC (pga buffern på 4.5% som ligger under 0% på visad SOC).
57% är runt 59% riktig SOC så då är man väl inne i ”steget”.
När det gäller antal cykler och Depth of Discharge så är små cykler att föredra.
En cykel på 20% sliter mer än två på 10%. Kan man ladda varje dag är de mindre cyklerna bättre, om vi ser enbart till cyclic aging.
Iom calendar aging, som är största delen av degraderingen för de flesta så kan det fortfarande löna sig med att ladda mer sällan då batteriet får stå med lägre SOC i genomsnitt.
MSP ’23 Ultra Red/black 21” Arachnid
M3P ’21 Multicoat/black
Mazda Rx3 -73, Audi A5
Mazda Rx3 -73, Audi A5
-
Dexter
- Teslaägare
- Inlägg: 729
- Blev medlem: 04 dec 2020 09:34
Re: Scan My Tesla Mätresultat
Jag har fått fram med att "Teslas" SOC procent nivå så ligger cellspänningen högre än "normalt räknat"
Så ungefär fick jag fram.
Så för att ladda 55% på riktigt kan man ju undra lite grann.
2,7 Volt till 3,4 Volt är väl bufferten under 0% egentligen.
Så ungefär fick jag fram.
Så för att ladda 55% på riktigt kan man ju undra lite grann.
2,7 Volt till 3,4 Volt är väl bufferten under 0% egentligen.
Du har inte behörighet att öppna de filer som bifogats till detta inlägg.
-
AAKEE
- Teslaägare
- Inlägg: 7534
- Blev medlem: 04 nov 2020 20:12
- Ort: Boden
- Referralkod: ts.la/ke18519
Re: Scan My Tesla Mätresultat
Min cellspänning är 2.5V så sann 0% är 2.50V sett i battericellernas perspektiv.Dexter skrev:Jag har fått fram med att "Teslas" SOC procent nivå så ligger cellspänningen högre än "normalt räknat"
Så ungefär fick jag fram.
Så för att ladda 55% på riktigt kan man ju undra lite grann.
2,7 Volt till 3,4 Volt är väl bufferten under 0% egentligen.
Jag vet inte hur du tagit fram det där men det könns inte stämma riktigt. Avser du vilospänning(OCV) ?
MSP ’23 Ultra Red/black 21” Arachnid
M3P ’21 Multicoat/black
Mazda Rx3 -73, Audi A5
Mazda Rx3 -73, Audi A5
-
Dexter
- Teslaägare
- Inlägg: 729
- Blev medlem: 04 dec 2020 09:34
Re: Scan My Tesla Mätresultat
Det är möjligt att det är fel på min beräkning.AAKEE skrev:Min cellspänning är 2.5V så sann 0% är 2.50V sett i battericellernas perspektiv.Dexter skrev:Jag har fått fram med att "Teslas" SOC procent nivå så ligger cellspänningen högre än "normalt räknat"
Så ungefär fick jag fram.
Så för att ladda 55% på riktigt kan man ju undra lite grann.
2,7 Volt till 3,4 Volt är väl bufferten under 0% egentligen.
Jag vet inte hur du tagit fram det där men det könns inte stämma riktigt. Avser du vilospänning(OCV) ?
Ja vilo spänning är det jag menar.
Jag tänkte på nivån på 2,5V = 0%
Om man kör ner spänningen så långt går inte skyddskretsarna i cellen in då?
Om man jämför med typ Lithium celler typ som t.ex är i verktygs batterier så brukar ju under 2,7 V vara lite kritiskt där elektroniken går in och bryter minus polen.(på vissa batterier)
Det är därför jag räknade med 2,7V.
Men teslas celler kanske inte gör det och går köra ned till 2,5V utan problem.
Kommentera gärna och rätta mig om jag tänker fel där.
-
AAKEE
- Teslaägare
- Inlägg: 7534
- Blev medlem: 04 nov 2020 20:12
- Ort: Boden
- Referralkod: ts.la/ke18519
Re: Scan My Tesla Mätresultat
Om du läser i SMT värden ser du min battery voltage 241V? 241/96= 2.51V
Standarden för li ion NCA är min 2.50 Volt och max 4.20 Volt. (panasonics spec på battericellerna).
Det finns andra batterityper som har högre minspänning, tex 2.7V.
Kurvan är långt ifrån linjär, dippar ganska fort under 100%, är sedan ganska linjär ned till 3.2V cirka, sedan viker den av brant nedåt.
Jag hade 3.20V vid 6% före en SuC( bilen ”påslagen” men i park).
3.09V vid SOC 0.39% (Park, ac och ljus avstängda.)
2.84V vid SOC -1.82% direkt vid park.
3.000V vid SOC -1.82% efter att bilen fått sova ett par timmar
Standarden för li ion NCA är min 2.50 Volt och max 4.20 Volt. (panasonics spec på battericellerna).
Det finns andra batterityper som har högre minspänning, tex 2.7V.
Kurvan är långt ifrån linjär, dippar ganska fort under 100%, är sedan ganska linjär ned till 3.2V cirka, sedan viker den av brant nedåt.
Jag hade 3.20V vid 6% före en SuC( bilen ”påslagen” men i park).
3.09V vid SOC 0.39% (Park, ac och ljus avstängda.)
2.84V vid SOC -1.82% direkt vid park.
3.000V vid SOC -1.82% efter att bilen fått sova ett par timmar
MSP ’23 Ultra Red/black 21” Arachnid
M3P ’21 Multicoat/black
Mazda Rx3 -73, Audi A5
Mazda Rx3 -73, Audi A5
-
Dexter
- Teslaägare
- Inlägg: 729
- Blev medlem: 04 dec 2020 09:34
Re: Scan My Tesla Mätresultat
Ja du har rätt där Min voltage är 240V/96=2.5VAAKEE skrev:Om du läser i SMT värden ser du min battery voltage 241V? 241/96= 2.51V
Standarden för li ion NCA är min 2.50 Volt och max 4.20 Volt. (panasonics spec på battericellerna).
Det finns andra batterityper som har högre minspänning, tex 2.7V.
Kurvan är långt ifrån linjär, dippar ganska fort under 100%, är sedan ganska linjär ned till 3.2V cirka, sedan viker den av brant nedåt.
Jag hade 3.20V vid 6% före en SuC( bilen ”påslagen” men i park).
3.09V vid SOC 0.39% (Park, ac och ljus avstängda.)
2.84V vid SOC -1.82% direkt vid park.
3.000V vid SOC -1.82% efter att bilen fått sova ett par timmar
Max 403V/96=4,198V enligt Scan my Tesla.
Jag missade faktiskt det.
Tack för hjälpen.
Visst SOC procenten är absolut inte linjär med batterispänningen det måste man tänka på.
Man kan egentligen bara ha cellspänningen som en fingervisning i vilken ungefärlig nivå man ligger på.
Det som gör det lite besvärligt att räkna på är att 0% på bilens visning är inte 2,5V per cell eftersom bufferten ligger ovanpå det.
Jag har aldrig varit under 10,9%=3,396V/ cell
Men vet ej om BMS visar rätt då i det läget heller.
Men du fick fram SOC 0,39% = 3,09V/cell med mer realistisk test.
Men det låg säkert lite last på ännu fastän du hade AC och ljus avstängda eftersom huvudkontaktorn är fortfarande tillslagen.
SOC 0% visning är kanske då ca 3,0-3,1V/cell och resten buffert.
Vad tror du AAKEE?
-
AAKEE
- Teslaägare
- Inlägg: 7534
- Blev medlem: 04 nov 2020 20:12
- Ort: Boden
- Referralkod: ts.la/ke18519
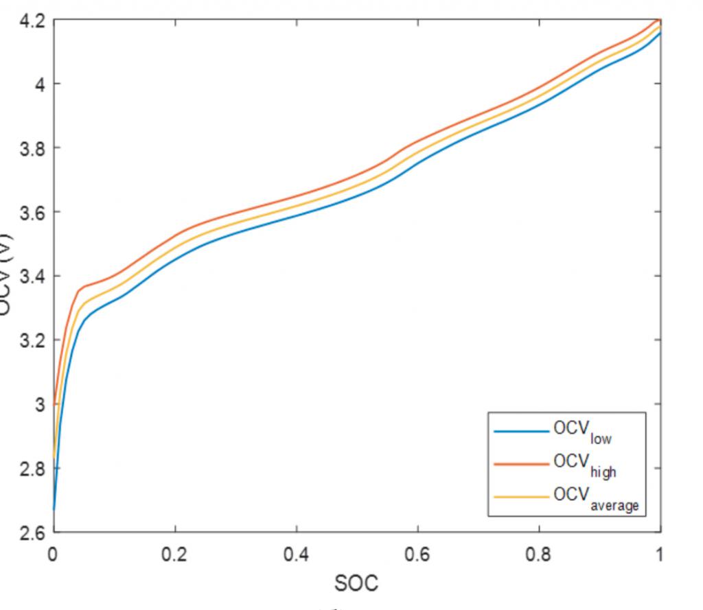
Re: Scan My Tesla Mätresultat
Här är en Open Circuit Voltage-kurva för Panasonic NCA, 18650.
Du har inte behörighet att öppna de filer som bifogats till detta inlägg.
MSP ’23 Ultra Red/black 21” Arachnid
M3P ’21 Multicoat/black
Mazda Rx3 -73, Audi A5
Mazda Rx3 -73, Audi A5
-
Dexter
- Teslaägare
- Inlägg: 729
- Blev medlem: 04 dec 2020 09:34
Re: Scan My Tesla Mätresultat
Tack så mycket för NCA 18650 kurvanAAKEE skrev:Här är en Open Circuit Voltage-kurva för Panasonic NCA, 18650.
-
Tellus
- Teslaägare
- Inlägg: 4696
- Blev medlem: 04 dec 2018 09:07
- Ort: Nerike
- Referralkod: ts.la/magnus93984
Re: Scan My Tesla Mätresultat
50% i min 3P 2019 är 3,81 volt vilospänning, batt temp 26
Y Performance FSD -27 Beställd / $ Plaid -23 / 3P -19 / Peugeot e-208 -22 / SigenStor/ Rökfri sedan 2012-02-10 (Nissan Leaf)
-
Dexter
- Teslaägare
- Inlägg: 729
- Blev medlem: 04 dec 2020 09:34
Re: Scan My Tesla Mätresultat
Stämmer bra med min visning i bilen också 50%=3,804VTellus skrev:50% i min 3P 2019 är 3,81 volt vilospänning, batt temp 26
Det innebär att battericellens absoluta min punkt 0% är 2,5V
Bilens 0% visning ca 3,0V.
Spänningen 3,0V ner till 2,5V är buffert där bilen visar på 0% på skärmen.
-
Lophornis
- Teslaägare
- Inlägg: 779
- Blev medlem: 30 aug 2016 21:09
- Referralkod: ts.la/tomas4789
Re: Scan My Tesla Mätresultat
Uppdaterade till version 2022.36.2 i min model 3. Efter detta visar scan my telsa 1156% soc och 0.1kwh nominal full pack. Tesla uppdaterade energi grafen nu och då får man fel lästa värden.
Någon mera som har detta fel?
Någon mera som har detta fel?
Tesla Model 3 LR 2024 blå
Tesla Model 3 LR 2021 vit (såld)
Ioniq 28kWh (såld)
Tesla Model 3 LR 2021 vit (såld)
Ioniq 28kWh (såld)
-
AAKEE
- Teslaägare
- Inlägg: 7534
- Blev medlem: 04 nov 2020 20:12
- Ort: Boden
- Referralkod: ts.la/ke18519
Re: Scan My Tesla Mätresultat
Nope.Lophornis skrev:Uppdaterade till version 2022.36.2 i min model 3. Efter detta visar scan my telsa 1156% soc och 0.1kwh nominal full pack. Tesla uppdaterade energi grafen nu och då får man fel lästa värden.
Någon mera som har detta fel?
0.1kWh är lite kärvt.
Mer än 1000% SOC i komb med 0.1kWh nominal full pack ger dock > 1kWh, och då snackar vi ju range igen
MSP ’23 Ultra Red/black 21” Arachnid
M3P ’21 Multicoat/black
Mazda Rx3 -73, Audi A5
Mazda Rx3 -73, Audi A5
-
Tellus
- Teslaägare
- Inlägg: 4696
- Blev medlem: 04 dec 2018 09:07
- Ort: Nerike
- Referralkod: ts.la/magnus93984
Re: Scan My Tesla Mätresultat
Samma här i Android SMT efter uppdatering till den versionen, MYP.Lophornis skrev:Uppdaterade till version 2022.36.2 i min model 3. Efter detta visar scan my telsa 1156% soc och 0.1kwh nominal full pack. Tesla uppdaterade energi grafen nu och då får man fel lästa värden.
Någon mera som har detta fel?
Senast redigerad av Tellus, redigerad totalt 2 gång.
Y Performance FSD -27 Beställd / $ Plaid -23 / 3P -19 / Peugeot e-208 -22 / SigenStor/ Rökfri sedan 2012-02-10 (Nissan Leaf)
-
NEO
- Teslaägare
- Inlägg: 2834
- Blev medlem: 24 okt 2017 20:17
- Ort: Mälardalen
- Referralkod: ts.la/alfredo77771
-
Lophornis
- Teslaägare
- Inlägg: 779
- Blev medlem: 30 aug 2016 21:09
- Referralkod: ts.la/tomas4789
Re: Scan My Tesla Mätresultat
Man får hoppas det kommer en snabb uppdatering av programvaran.NEO skrev:Samma för mig med Iphone.
Tesla Model 3 LR 2024 blå
Tesla Model 3 LR 2021 vit (såld)
Ioniq 28kWh (såld)
Tesla Model 3 LR 2021 vit (såld)
Ioniq 28kWh (såld)
-
ANLI
- Teslaägare
- Inlägg: 181
- Blev medlem: 06 feb 2022 18:02
Re: Scan My Tesla Mätresultat
Scan my Tesla kunde inte tidigare läsa samtliga 106? (55kWh) eller 108 (60kWh) celler i Tesla M3 RWD med LFP.
Bilarna med nickelbatterier har ju 96 celler i serie.
Har varit i kontakt med utvecklaren.
Har inte testat sedan men ser ingen uppdatering i change log.
https://www.scanmytesla.com/changelog
Bilarna med nickelbatterier har ju 96 celler i serie.
Har varit i kontakt med utvecklaren.
Har inte testat sedan men ser ingen uppdatering i change log.
https://www.scanmytesla.com/changelog
M3 RWD -22
-
Tellus
- Teslaägare
- Inlägg: 4696
- Blev medlem: 04 dec 2018 09:07
- Ort: Nerike
- Referralkod: ts.la/magnus93984
Re: Scan My Tesla Mätresultat
Ny version ute nu som ska fixa felet!Tellus skrev:Samma här i Android SMT efter uppdatering till den versionen, MYP.Lophornis skrev:Uppdaterade till version 2022.36.2 i min model 3. Efter detta visar scan my telsa 1156% soc och 0.1kwh nominal full pack. Tesla uppdaterade energi grafen nu och då får man fel lästa värden.
Någon mera som har detta fel?
Y Performance FSD -27 Beställd / $ Plaid -23 / 3P -19 / Peugeot e-208 -22 / SigenStor/ Rökfri sedan 2012-02-10 (Nissan Leaf)
-
Lophornis
- Teslaägare
- Inlägg: 779
- Blev medlem: 30 aug 2016 21:09
- Referralkod: ts.la/tomas4789
Re: Scan My Tesla Mätresultat
Jag tycker att volt talet i batteriet har minskat lite sedan ny. Finns det någon tabell vad de olika tesla batterierna ska ha för volt tal?
Bilen har ju uppdaterats flera gånger sedan ny.
Sedan undrar jag om det finns någon funktion i Scan my tesla appen som man kan logga värdena?
Bilen har ju uppdaterats flera gånger sedan ny.
Sedan undrar jag om det finns någon funktion i Scan my tesla appen som man kan logga värdena?
Tesla Model 3 LR 2024 blå
Tesla Model 3 LR 2021 vit (såld)
Ioniq 28kWh (såld)
Tesla Model 3 LR 2021 vit (såld)
Ioniq 28kWh (såld)
-
NEO
- Teslaägare
- Inlägg: 2834
- Blev medlem: 24 okt 2017 20:17
- Ort: Mälardalen
- Referralkod: ts.la/alfredo77771
Re: Scan My Tesla Mätresultat
Testade en M3P från 2021 med 82kWh Panasonic i förbifarten. Är inte degraderingen extrem?
Du har inte behörighet att öppna de filer som bifogats till detta inlägg.
-
AAKEE
- Teslaägare
- Inlägg: 7534
- Blev medlem: 04 nov 2020 20:12
- Ort: Boden
- Referralkod: ts.la/ke18519
Re: Scan My Tesla Mätresultat
När under 2021 är bilen byggd? Fremont eller MIC? MIC-versionerna verkar lverlag visa lägre kapacitet.NEO skrev:Testade en M3P från 2021 med 82kWh Panasonic i förbifarten. Är inte degraderingen extrem?
Många sena ’21 verkar ha ’börjat lågt’.
En bekants 21 M3P hade 77kWh efter ca fem månader och 1000mil.
Har koll på ytterligare några M3P som började kring 77 kWh.
Min å andra sidan, startade på ca 81 kWh och toppade 81.6 NFP, med 82 nominal remaining.
Sen vet jag inte hur pålitlig BMS är, jag hade enligt mina beräkningar och en räckviddstest en överdriven NFP på runt 81kWh under lång tid. Sedan droppade NFP ca 4kWh på ett bräde till 77 kWh.
Räckviddstesten visade på en kapacitet på ca 79kWh. Det lutar åt att BMS både har överskattat och underskattat batterikapaciteten med ca 2 kWh, dvs ca 2.5%.
MSP ’23 Ultra Red/black 21” Arachnid
M3P ’21 Multicoat/black
Mazda Rx3 -73, Audi A5
Mazda Rx3 -73, Audi A5
-
Tellus
- Teslaägare
- Inlägg: 4696
- Blev medlem: 04 dec 2018 09:07
- Ort: Nerike
- Referralkod: ts.la/magnus93984
Re: Scan My Tesla Mätresultat
Den har gått ca 3000mil ?NEO skrev:Testade en M3P från 2021 med 82kWh Panasonic i förbifarten. Är inte degraderingen extrem?
Såg nyligen en på blocket med 91% kapacitet kvar enligt en firma som brukar mäta batterikapacitet.
Denna verkar ha 89% kapacitet kvar.
Y Performance FSD -27 Beställd / $ Plaid -23 / 3P -19 / Peugeot e-208 -22 / SigenStor/ Rökfri sedan 2012-02-10 (Nissan Leaf)
-
AAKEE
- Teslaägare
- Inlägg: 7534
- Blev medlem: 04 nov 2020 20:12
- Ort: Boden
- Referralkod: ts.la/ke18519
Re: Scan My Tesla Mätresultat
Många börjar ju lägre, så det är frågan hur man ska räkna.Tellus skrev:Den har gått ca 3000mil ?
Såg nyligen en på blocket med 91% kapacitet kvar enligt en firma som brukar mäta batterikapacitet.
Denna verkar ha 89% kapacitet kvar.
Tesla har tagit höjd för ca 80.6kWh kapacitet, då visas full EPA-range och räckvidd gånger förbrukning ger den kapaciteten. Det torde vara det man bör räkna som 0% degradering enligt utlovad spec på räckvidd.
G
73 kWh ger en degradering mot spec på 9.5%.
De bilar som börjar lägre verkar ofta ligga runt en NFP på 77kWh, så från ”nyvärdet har bilen tappat ca 5% sedan den var ny i ett sånt fall.
Jag är lite skeptisk till att BMS håller bra koll på rätt batterikapacitet. Min har vart både 2 kWh över och under. Det är möjligt att batteriet är bättre än BMS tror. Det är också min gissning.
Jag är än mer skeptisk till en del av de firmor som gör degraderingstester på bilarna, vi har sett många fall med betydligt högre värden än det batteriet torde degraderas på den tidsrymd som gått sedan bilen var ny.
MSP ’23 Ultra Red/black 21” Arachnid
M3P ’21 Multicoat/black
Mazda Rx3 -73, Audi A5
Mazda Rx3 -73, Audi A5